|
<< Click to Display Table of Contents >> Navigation: EnviroInsite > Cross-Sections > Measured Data > EnviroInsite Cross-Section Layers |
The Layers function is designed to draw model layers on a cross-section.

Layer elevation data may be entered as either comma-delimited or using the standard FEFLOW format. Comma-delimited data is entered as X-Y-Z values followed by a layer number. Unit names are entered in a separate file, with one name per layer. There should be one less unit than the maximum layer number in the layer elevation file.
Click Plot> External Data from the main menu and select Layers. The Profile Stratigraphy dialog box opens. Modify the properties of the profile on the Query tab, Format tab, Interpolation tab, EQuIS Location Groups tab, and Hatch tab as desired. Click the OK button to save changes.
Query Tab

Format Tab

Interpolation Tab
This tab allows the user to select the interpolation scheme and the parameters of the interpolation method. The correct selection of interpolation parameters is critical to generate contours that accurately reflect the field data and our expectations of how the values vary between the measured data points. The default parameters are frequently adequate, although some improvement can be anticipated through trial and error.

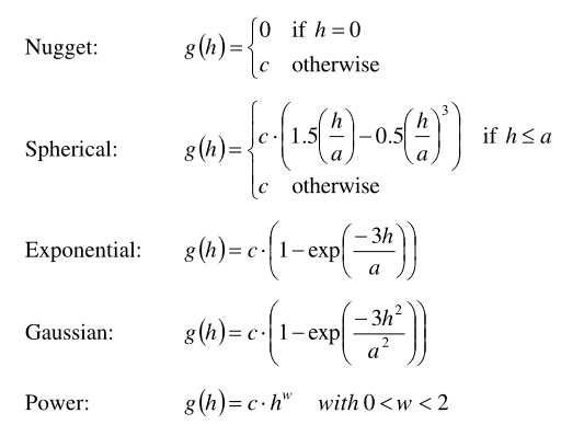
Kriging Parameter
The kriging routines are derived from the kt3d routine of the Geostatistical Software Library (GSLIB) authored by Clayton Deutsch and Andre Journel.

The reference GSLIB: Geostatistical Software Library and Users' Guide is highly recommended. The following equations are the spherical semivariogram models used by EnviroInsite for an isotropic system, where h is the lag, c is the sill, and a is the (practical) range.
(Source: Introduction to Geostatistics and Variogram Analysis.

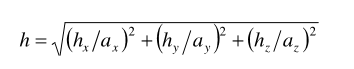
For anisotropic systems, h/a in the previous is calculated as
![]()
Hatch Tab

Copyright © 2026 EarthSoft, Inc. • Modified: 15 Mar 2024