|
<< Click to Display Table of Contents >> Navigation: EnviroInsite > External Data > 3D Surface - External Data |
This routine generates 3D surfaces from point data stored in text files. Each record has the X-Y-Z coordinates and a data value. The files can be comma-delimited or space-delimited. The control options are the same as the 3D surface options used in interpolating measured data from a database.
To create a 3D surface using external data, click Plot> External Data from the main menu and select 3D Surface. The Surface XYZ dialog box opens. Modify the properties on the following tabs as desired:
Click the OK button to save changes.
EnviroInsite can query online services from the United States Geological Survey (USGS) or Natural Resources Canada to create a Digital Elevation Model (DEM) data file that can be used as the external surface elevation file.




This tab allows the user to select the interpolation scheme and the parameters of the interpolation method. The correct selection of interpolation parameters is critical to generate contours that accurately reflect the field data and our expectations of how the values vary between the measured data points. The default parameters are frequently adequate, although some improvement can be anticipated through trial and error. There is no single, objectively optimal set of interpolation parameters. Different methods and parameters work best for different data sets.

Kriging Parameter
The kriging routines are derived from the kt3d routine of the Geostatistical Software Library (GSLIB) authored by Clayton Deutsch and Andre Journel.

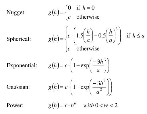
The reference GSLIB: Geostatistical Software Library and Users' Guide is highly recommended. The following equations are the spherical semivariogram models used by EnviroInsite for an isotropic system, where h is the lag, c is the sill, and a is the (practical) range.
(Source: Introduction to Geostatistics and Variogram Analysis, available here).

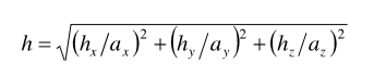
For anisotrophic systems, h/a in the previous is calculated as
![]()
Natural Neighbor Parameters
The natural neighbor interpolation makes use of an adapted version of the public domain natural neighbor code developed by Pavel Sakov of CSIRO Marine Research.


Copyright © 2026 EarthSoft, Inc. • Modified: 05 Oct 2023