|
<< Click to Display Table of Contents >> Navigation: EQuIS Library > Reports > Standard Reports > Statistics > Mann-Kendall Tests |
•EQuIS Mann-Kendall Calculations
The Mann-Kendall test determines the trend of varying data (whether it increases or decreases over time). This page describes the methods used in EQuIS reporting to evaluate the Mann-Kendall test.
The Mann-Kendall test uses the following equation:
![]()
The calculation compares each value to each of the preceding values in the data set using the sign() function. This function outputs either 1, -1, or 0 depending on whether yj - yi is either positive, negative, or zero respectively. The sum of these calculations within the iteration signifies an upward, downward, or stagnate step.
If the sample size is less than 10, then EQuIS uses the EPA-specified method for small sample sizes as shown in the following set of directions:

Directions for the Mann-Kendall Trend Test for Small Sample Sizes [source].

Example Construction of a Data Matrix for the Mann-Kendall Trend Test [source].

Probabilities for the Small-Sample Mann-Kendall Test for Trend [source].
Notes: •Sample size must be greater than 3 for Mann-Kendall S to be calculated. |
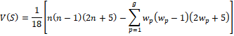
Should the sample size be 10 or greater, then the variance of the Mann-Kendall S value is calculated by Normal Approximation:

where g is the number of tied groups (where a number has repeated) and wp is the number of data points (tied values) in the pth group
For example, a dataset of {17, 14, 39, 16, 39, 14, 14, 39, 17, 39} contains the following:
•Three tied groups (g = 3) for 14, 17, and 39
•Tied group 1 (p = 1) for the three values of 14 (w1 = 3)
•Tied group 2 (p = 2) for the two values of 17 (w2 = 2)
•Tied group 3 (p = 3) for the three values of 39 (w3 = 4)
The following conditions for the Mann-Kendall S value determine the next step in calculation:
1.If S > 0:
![]()
2.If S < 0:
![]()
3.If S = 0, then Z = 0.
The Z value is then checked with the following conditions (see table below) to test the null hypothesis – that there is no monotonic trend, i.e. no increasing or decreasing between two subsequent steps. The corresponding confidence level of rejecting that hypothesis is then assigned.
Values |
Confidence Level |
|---|---|
|
99.5 |
|
97.5 |
|
95 |
Note that α = 1 - (confidence percentage).
The following EQuIS reports perform Mann-Kendall calculations:
•Analytical Results - Statistics
•Analytical Results II - Statistics
•Statistics: Analytical Statistics (by Location)
EnviroInsite uses a separate method of evaluating the Mann-Kendall test. For more information, see Mann Kendall Trend Evaluation.
In EQuIS, the sign difference between the detect or non-detect (Process multiple non-detect limits of an analyte at a location parameter) entries are compared for each summation step, and these iterations are added through a double summation to determine the total count as the Mann-Kendall S value.
Note: The “Process multiple non-detect limits of an analyte at a location” parameter can be set at Max, Min, Average, or Last, defaulting to Last if there is no selection. |
Source – Guidance for Data Quality Assessment: Practical Methods for Data Analysis, EPA QA/G‐9, US EPA Office of Environmental Information EPA/600/R‐96/084, July 2000
Copyright © 2026 EarthSoft, Inc. • Modified: 30 May 2025